일 | 월 | 화 | 수 | 목 | 금 | 토 |
---|---|---|---|---|---|---|
1 | 2 | 3 | 4 | |||
5 | 6 | 7 | 8 | 9 | 10 | 11 |
12 | 13 | 14 | 15 | 16 | 17 | 18 |
19 | 20 | 21 | 22 | 23 | 24 | 25 |
26 | 27 | 28 | 29 | 30 | 31 |
- 정처기 실기 공부법
- CS정리
- 코드포스
- 알고리즘
- 행렬
- 공익예비군
- 선형대수학
- 링커
- vector
- 구문트리
- 벡터
- 백준
- 다익스트라
- Rust
- c++
- linear algebra
- 대상파일
- 동원훈련2형
- 용인과학화예비군훈련장
- 용인과학화예비군훈련장px
- matrix
- 정처기 공부법
- column space
- 컴파일러
- 재배치
- 컴퓨터밑바닥의비밀
- 다이나믹 프로그래밍
- unity
- rust 스터디
- eigenvalue
- Today
- Total
개발_기록용
[선형대수학 정리] 4. 벡터의 norm 본문
1. 배경
그래픽스 공부에 들어가기 전, 근본 중에서도 근본인 선형대수학을 먼저 파야겠다고 생각했다!
Chris Ohk 님의 Game Developer Roadmap 2022를 보고 내가 부족한 부분을 채워나가기로 결심했기 때문이다.
https://github.com/utilForever/game-developer-roadmap
GitHub - utilForever/game-developer-roadmap: Roadmap to becoming a game developer in 2022
Roadmap to becoming a game developer in 2022. Contribute to utilForever/game-developer-roadmap development by creating an account on GitHub.
github.com
.
2. 정리
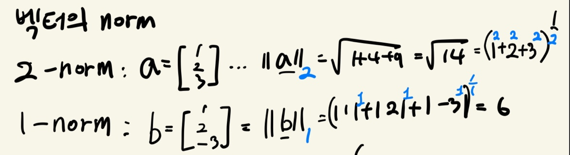
벡터의 norm
우선, 우리가 벡터 a의 크기를 구한다면
피타고라스의 정리를 통해 구한다.
이건 2차원 평면 상에서 구하는 것이므로
각 값에 제곱을 다 더하고, 2제곱근을 씌워 구한 값이므로
벡터 a의 2-norm이라 한다.
벡터 b의 1-norm을 구한다면
벡터 b의 모든 성분의 절대값을 더해주면 된다.
이는 각 값의 1제곱을 다 더하고, 1제곱근을 씌워 구한 값이므로벡터 b의 1-norm을 구하는 것이다.
즉, 규칙을 따라 어떤 벡터의 p-norm은
모든 성분을 p제곱한 값을 더한 그 sum에
p제곱근을 씌운 값임을 알 수 있다. (일반화)
이 일반화된 식을 통해 p를 무한대로 보내면
벡터의 모든 성분들 중 가장 작은 성분만 남는다는 것도
유추할 수 있다. (infinity-norm)
예를 들어, 벡터 [3 4]의 1-norm은 3+4 = 7
2-norm은 5이고, infinity-norm은 4.
일반화된 식으로 작도하면 1-norm이 가장 넓이가 작고infinity-norm이 가장 크며p-norm의 p가 증가할수록 infinity-norm을 향해바깥쪽으로 그래프가 나간다는 것도 알 수 있다!
'선형대수학' 카테고리의 다른 글
[선형대수학 정리] 6. Column space와 span (4) | 2024.07.16 |
---|---|
[선형대수학 정리] 5. 행렬의 곱셈과 Column Space (2) | 2024.07.16 |
[선형대수학 정리] 3. 내적과 정사영 (0) | 2024.07.16 |
[선형대수학 정리] 2. 전치 (1) | 2024.07.16 |
[선형대수학 정리] 1. 행렬의 성분 및 표현 그리고 행렬의 덧셈과 뺄셈, 스칼라 배 (4) | 2024.07.16 |